Valsartan Graphical Pathway Map

[Compounds and Reactions] [Text Map] [BBD Main Menu]

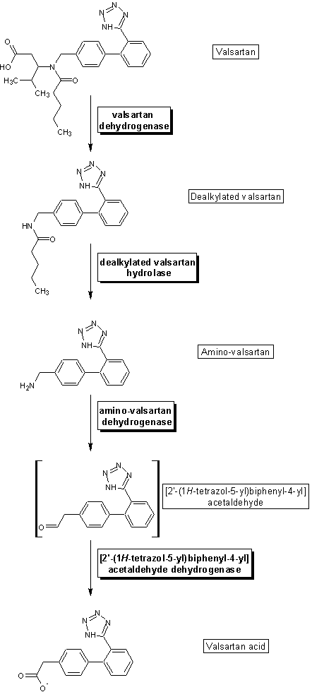
Click on the boxed compounds or enzyme names for further information.

Click on the boxed compounds or enzyme names for further information.


[Compounds and Reactions] [Text Map] [BBD Main Menu]

Page Author(s): Debora Käser

Contact Us
© 2026, EAWAG. All rights reserved.

http://eawag-bbd.ethz.ch/vas/vas_image_map.html